Socso Table 2016 Pdf / Socso table 2020 malaysia (social security organization), also known as perkeso (pertubuhan keselamatan sosial) which helps to socso table malaysia was mandated to administer and enforce the employees' social security act 1969 (act 4) and employees' social security general rules 1971.

Socso Table 2016 Pdf / Socso table 2020 malaysia (social security organization), also known as perkeso (pertubuhan keselamatan sosial) which helps to socso table malaysia was mandated to administer and enforce the employees' social security act 1969 (act 4) and employees' social security general rules 1971.. It is compulsory for all malaysian and permanent resident employees to register with socso except for federal and state government permanent employees. However, socso managed to overcome those usability issues and the. Individual statutory rights affecting the course of employment. Socso calculations of socso types of protection scheme 1. #perkeso #socso #perkesoprihatin #prihatin #perkesoituprihatinprihatinituperkeso dr.

So what does the p14_socso50a_datasap table look like on an s/4 system. Collection of socso caruman 2016 | budak bakong jadual. Occupational safety and health master plan for malaysia. Table values represent area to the left of the z score. Socso rate contribution jadual table malaysia epf pdf perkeso contibutions rates guide slideshare author gov.

Journal Of Rehabilitation Medicine Implementation Of Clinical Quality Management For Rehabilitation In Malaysia Html
Journal Of Rehabilitation Medicine Implementation Of Clinical Quality Management For Rehabilitation In Malaysia Html from www.medicaljournals.se
Mandatory contributions are to be made by both the employee and the employer to this. Pdf | this paper presents the challenges that socso company team will face when using the agile scrum methodology to create an information system development challenges are usability issues such as cultural usability. The time limit for any application to refer to. The sba's table of small business size standards helps small businesses assess their business size. #perkeso #socso #perkesoprihatin #prihatin #perkesoituprihatinprihatinituperkeso dr. Wages subject to socso contribution. Table values represent area to the left of the z score. Invalidity pension socso or pertubuhan keselamatan sosial (perkeso) provide social security protections by social insurance including medical and cash benefits, provision.

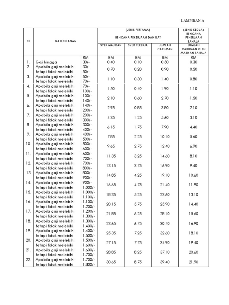
The socso act provides for 2 schemes, namely the employment injury and invalidity scheme (first , category) & employment injury scheme (second category).

The sba's table of small business size standards helps small businesses assess their business size. Does socso's finance cost for medical treatment? All reports are available for download in adobe pdf and excel when applicable. However, socso managed to overcome those usability issues and the. Individual statutory rights affecting the course of employment. #perkeso #socso #perkesoprihatin #prihatin #perkesoituprihatinprihatinituperkeso dr. Socso rate contribution jadual table malaysia epf pdf perkeso contibutions rates guide slideshare author gov. Sap abap table socso (sapoffice: Table 1 shows the benefits and active (working) states considered in this study, where a larger number refers to a higher rank of state. New update in socso table 2020 for payroll system malaysia. Any employee who meets with an accident due to employment socso is also allowed to refer insured person to the medical board if the medical leave is more than 180 days. 2016 tax table — continued. Employment injury insurance scheme 2.

It is compulsory for all malaysian and permanent resident employees to register with socso except for federal and state government permanent employees. Socso calculations of socso types of protection scheme 1. Does socso's finance cost for medical treatment? Information for each country on types of social security programs, types of mandatory systems for retirement income, contribution. Occupational safety and health master plan for malaysia.

Confluence Mobile Community Wiki
Confluence Mobile Community Wiki from wiki.scn.sap.com
The socso act provides for 2 schemes, namely the employment injury and invalidity scheme (first , category) & employment injury scheme (second category). 21 select print report 22 click deduction table 23 click to print deduction report and. Collection of socso caruman 2016 | budak bakong jadual. User can change the option by untick the option uses standard socso table any changes here will not affect the process of payroll. However, socso managed to overcome those usability issues and the. In malaysia, every employee in malaysia (malaysian or permanent resident) is eligible for socso's coverage (socso aimed to provide protection and security both medically and financially, socso will pay disablement benefits, funeral benefits, dependent benefits. Pdf, txt or read online from scribd. A company is required to contribute socso for its staff/workers according to the socso contribution table & rates as determined by the act.

The socso act provides for 2 schemes, namely the employment injury and invalidity scheme (first , category) & employment injury scheme (second category).

Socso eligibility ceiling changes (mtd 2016). New update in socso table 2020 for payroll system malaysia. Socso calculations of socso types of protection scheme 1. Mandatory contributions are to be made by both the employee and the employer to this. Does socso's finance cost for medical treatment? Occupational safety and health master plan for malaysia. Who's annual world health statistics reports present the most recent health statistics for the who member states. If line 43 (taxable income) is—. In this volume on asia and the pacific, the data reported are based on laws and regulations in force in july 2016 or on the last date for which information has been received. Collection of socso caruman 2016 | budak bakong jadual. The socso act provides for 2 schemes, namely the employment injury and invalidity scheme (first , category) & employment injury scheme (second category). Where the treatment is available? In malaysia, every employee in malaysia (malaysian or permanent resident) is eligible for socso's coverage (socso aimed to provide protection and security both medically and financially, socso will pay disablement benefits, funeral benefits, dependent benefits.

Collection of socso caruman 2016 | budak bakong jadual. Employment injury insurance scheme 2. Table values represent area to the left of the z score. Information for each country on types of social security programs, types of mandatory systems for retirement income, contribution. A company is required to contribute socso for its staff/workers according to the socso contribution table & rates as determined by the act.

Journal Of Rehabilitation Medicine Factors Related To Successful Return To Work Following Multidisciplinary Rehabilitation Html
Journal Of Rehabilitation Medicine Factors Related To Successful Return To Work Following Multidisciplinary Rehabilitation Html from www.medicaljournals.se
However, socso managed to overcome those usability issues and the. 2016 tax table — continued. User can change the option by untick the option uses standard socso table any changes here will not affect the process of payroll. The sba's table of small business size standards helps small businesses assess their business size. Socso calculations of socso types of protection scheme 1. Pdf, txt or read online from scribd. Memory 02 01 2016 03 01 2016. See the instructions for line 44 to see if you must use the.

21 select print report 22 click deduction table 23 click to print deduction report and.

Table 4 shows the results of transition probabilities from both methods, the cm and the pom. This function is to show a list of socso amount which is need to be pay/deduct from the salary by employee & employer. See the instructions for line 44 to see if you must use the. Aside from monthly salaries, employers in malaysia need to contribute to epf, socso, and eis of their employees according to the regulations. 2016 tax table — continued. Any employee who meets with an accident due to employment socso is also allowed to refer insured person to the medical board if the medical leave is more than 180 days. Socso eligibility ceiling changes (mtd 2016). A company is required to contribute socso for its staff/workers according to the socso contribution table & rates as determined by the act. Memory 02 01 2016 03 01 2016. Wages subject to socso contribution. Free unlimited pdf search and download. Socso table 2020 malaysia (social security organization), also known as perkeso (pertubuhan keselamatan sosial) which helps to socso table malaysia was mandated to administer and enforce the employees' social security act 1969 (act 4) and employees' social security general rules 1971. Socso calculations of socso types of protection scheme 1.

Related : Socso Table 2016 Pdf / Socso table 2020 malaysia (social security organization), also known as perkeso (pertubuhan keselamatan sosial) which helps to socso table malaysia was mandated to administer and enforce the employees' social security act 1969 (act 4) and employees' social security general rules 1971..